중학교 2학년 수학에서
일차함수와 그래프를 배우고
중학교 3학년 수학에서는
이차함수와 그래프가 등장한다.
삼차함수, 사차함수와 같이
3차 이상의 다항함수를 고차함수라고 하는데
이 고차함수의 그래프는
고등학교 과정 미적분1 - 도함수의 활용
부분에서 배우게 된다.
중3 수학 교육과정
대단원 ‘이차함수와 그래프’ 안에 있는
소단원을 살펴보자.

위의 이차함수 소단원들을 통해
중3 학생들이 성취하기를 바라는 내용은
아래와 같다.
[9수03-09]이차함수의 의미를 이해하고, 그 그래프를 그릴 수 있다.
[9수03-10]이차함수의 그래프의 성질을 이해한다.
1. 이차함수의 뜻
* 함수 y=f(x)에서 y가 x의 이차식

으로 나타날 때, 이 함수 f(x)를 x에 대한 이차함수라고 한다.
*이차함수의 예

이차함수에 대한 내용을 쓰려다 보니
거듭제곱 표현이 있어
보기 좋게 내용을 설명하기 위해서는
계속 사진을 첨부해야 하는 문제점이 생겼다...
따라서 x의 제곱은
아래와 같이 x^2과 같이 표현하려고 한다.

2. 이차함수 y=ax^2의 그래프
* y=x^2의 그래프부터 그려보자.(기본 중에 기본)
- 함수의 그래프를 그리기 위해서 x의 값에 수를 대입하여 y값을 구하고, 그 순서쌍 (x, y)를 좌표평면 위에 나타내면 된다.
아래 그림은 x의 값을 -3부터 3까지 0.25의 간격으로 하여 순서쌍을 좌표평면에 나타낸 것이다.
곡선에 가까운 형태가 보이는가??

우리가 그리는 함수의 그래프는 x의 값의 범위가 실수 전체일 때 이므로 y=x^2의 그래프는 아래의 그림과 같은 매끄러운 곡선이 된다.
아래의 곡선이 이차함수 y=x^2의 그래프이다.

*이차함수 y=x^2의 그래프의 성질
- 원점을 지나고 아래로 볼록한 곡선이다.(그래프가 꺾이지 않아야 함.)
- y축에 대칭이다.(y축으로 접으면 그래프가 완전히 겹쳐진다)
- x<0일 때, x의 값이 증가하면 y의 값은 감소한다.(아래로 쭉~내려가는 형태의 그래프)
x>0일 때, x의 값이 증가하면 y의 값도 증가한다.(위로 쭉~ 올라가는 형태의 그래프)

* 이차함수 y=ax^2(단, a>0)의 그래프 그리기
a>0일 때, 이차함수 y=ax^2의 그래프는 위에서 설명한 y=x^2의 그래프를 이용하면 쉽게 그릴 수 있다.
a=2일때 함수의 그래프를 그려보자.
y=x^2과 y=2x^2의 함수의 대응표부터 살펴보자.
x에 값을 대입했을 때, y=2x^2의 함숫값이 y=x^2의 함숫값보다 2배 크다.

위의 상황을 그래프로 나타내면 x의 값이 같을 때, y=x^2의 y값보다 y=2x^2의 y의 값이 위로 2배 높은 곳에 위치한다.
따라서 y=2x^2의 그래프는 아래의 빨간 그래프이다. 폭이 좁아진다는 것을 확인할 수 있다.

마찬가지 방법으로 y= - ax^2(단, a>0)의 그래프도 그려보자. 이 그래프는 y=ax^2의 그래프를 이용하면 쉽게 그릴 수 있다.
y= - x^2 그래프를 그리기 위해 y=x^2와 y= - x^2의 대응표부터 살펴보자.
x의 값이 같을 때, y= - x^2의 함숫값은 y=x^2의 함숫값과 절댓값은 같고 부호는 반대임을 확인할 수 있다.

따라서 위의 상황을 그래프로 그리면 이차함수 y= - x^2의 그래프는 y=x^2의 그래프의 값을 x축에 대칭시켜 점들을 연결하여 그리면 된다.
(아래의 빨간 그래프가 y= - x^2의 그래프)

<성질을 이야기하기 전에 이차함수 그래프의 기본 용어부터 살펴보자.>

[포물선] : 이차함수 y=ax^2의 그래프와 같은 모양의 곡선을 포물선이라고 한다.
[축] : 포물선은 선대칭도형으로 그 대칭축을 포물선의 축이라고 한다.
[꼭짓점] : 포물선과 축의 교점을 포물선의 꼭짓점이라고 한다.
* y=ax^2(단, a≠0)의 그래프의 성질
1) 원점을 꼭짓점으로 하고, y축을 축으로 하는 포물선이다.
2) a>0이면 아래로 볼록(U)하고, a<0이면 위로 볼록(∩)하다.
3) a의 절댓값이 클수록, 그래프의 폭이 좁아진다.
4) 이차함수 y=-ax^2의 그래프와 x축에 대칭이다.

3. 이차함수 y=ax^2 + q (단, a≠0)의 그래프

* 함수식을 살펴보자. y=ax^2+q의 함수식은 y=ax^2과 비교했을 때 y값에 q만큼이 더해졌다.
즉, 이차함수 y=ax^2의 그래프를 y축의 방향(위, 아래)으로 q만큼 평행이동 하면 y=ax^2+q의 그래프를 쉽게 그릴 수 있다.
아래 예를 살펴보면 y=x^2+3의 그래프는 y=x^2의 그래프를 y축의 방향으로 +3만큼(위로 3만큼) 평행이동한 것으로!
y=x^2의 꼭짓점이 (0,0)인데 위로 3만큼 올라갔으니 (0,3)이 y=x^2+3 그래프의 꼭짓점이 되고, y축을 축(x=0)으로 하는 아래로 볼록한 포물선이다.
쉽죠!

* y=x^2-4와 같이 q의 값이 음수라면, y=x^2의 그래프를 y축의 방향으로 -4만큼 평행이동 시켜야 하는데, 이는 y=x^2 그래프의 모든 점을 아래로 4칸씩 내리라는 것이다.
그러면 꼭짓점은 (0,-4), y축을 축으로 하는 아래로 볼록한 포물선이다.
*y=ax^2+q의 그래프의 성질
1) 이차함수 y=ax^2의 그래프를 y축의 방향으로 q만큼 평행이동한 것이다.
2) 점(0,q)를 꼭짓점으로 하고, y축을 축으로 하는 포물선이다.
4. 이차함수 y=a(x-p)^2 (단, a≠0)의 그래프
* 먼저 y=(x-2)^2의 그래프를 그려보려고 한다. y=x^2의 그래프와 어떤 차이가 있는지 살펴보기 위해 먼저 대응표를 채워보았다.
x-2와 x는 2 차이가 있다는 것을 확인할 수 있다.
즉, 이차함수 y=(x-2)^2에서 x의 값이 -1,0,1,2,3일 때의 함숫값은 이차함수 y=x^2에서 x의 값이 -3,-2,-1,0,1일 때의 함숫값과 같다.
따라서 이차함수 y=(x-2)^2의 그래프는 이차함수 y=x^2의 그래프를 x축의 방향(좌우)으로 +2만큼 평행이동해서 그리면 된다.
y=x^2의 꼭짓점이 (0,0)이었는데 x축의 방향으로 2만큼 평행이동 했으므로 y=(x-2)^2그래프의 꼭짓점은 (2,0)이 되고, 직선 x=2를 축으로 하는 아래로 볼록한 포물선이 된다.


위의 예를 통해 y=a(x-p)^2의 그래프는 y=ax^2의 그래프를 x축의 방향으로 p만큼 평행이동하여 그리면 된다는 것을 알 수 있다.
* y=a(x-p)^2그래프의 성질
1) 이차함수 y=ax^2의 그래프를 x축의 방향으로 p만큼 평행이동한 것이다.
2) 점(p,0)을 꼭짓점으로 하고, 직선 x=p를 축으로 하는 포물선이다.
p>0이면 그래프가 x축의 양의 방향(오른쪽)으로 이동
p<0이면 그래프가 x축의 음의 방향(왼쪽)으로 이동한다.

5. 이차함수 y=a(x-p)^2 + q (단, a≠0)의 그래프

* y=a(x-p)^2+q의 그래프의 성질
3,4번 형태의 이차함수 그래프를 정확히 이해했다면 바로 성질을 말할 수 있을 것이다.
1) y=a(x-p)^2 +q의 그래프는 y=ax^2의 그래프를 x축의 방향으로 p만큼, y축의 방향으로 q만큼 평행이동 한 것이다.
2) 점(p,q)를 꼭짓점으로 하고, 직선 x=p를 축으로 하는 포물선이다.
* 이해를 위해 이차함수 y=(x-2)^2+3의 그래프를 그려보자.
방법1 ) y=(x-2)^2+3의 그래프는 y=x^2의 그래프를 x축의 방향으로 2만큼 평행이동한 후, y축의 방향으로 3만큼 평행이동한 그래프이다.


방법2) 꼭짓점과 y절편만 알면 그래프를 정확하지는 않지만 빠르게 그릴 수 있다. (y절편이란, 그래프가 y축과 만나는 점의 y좌표로, x에 0을 대입하여 나오는 y의 값이다.)
y=(x-2)^2+3의 그래프는 꼭짓점이(2,3), y절편=(0-2)^2+3=7이므로 바로~~위의 빨간 그래프를 그릴 수 있다.
6. 이차함수 y=ax^2 + bx + c (단, a≠0)의 그래프
* y=ax^2+bx+c의 형태만 가지고는 그래프를 바로 그릴 수 없다. 우변에 있는 이차식 ax^2+bx+c를 완전제곱식이 들어간 형태로 바꿔야 한다.
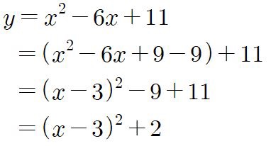
* y=x^2 -6x +11의 함수식을 y=a(x-p)^2+q의 형태로 바꿔보자.
완전제곱식을 만들기 위해서는 x^2의 계수를 1로 만든 후에! x의 계수의 절반의 제곱을 더해줘야 했다. 기억나죠?

이 경우에는 처음부터 x^2의 계수가 1이므로 x의 계수 -6의 절반인 -3의 제곱인 9를 더해주고! 원래의 식과 같게 만들기 위해서 9를 옆에 다시 빼준다.
완전제곱식을 만들기 위해서는 x^2-6x+9까지만 필요하니까 -9는 괄호 밖으로 보내버리고 뒤에 기다리고 있던 상수항 11과 더해서 +2가 된다.

따라서 이차함수 y=x^2-6x+11의 그래프는 y=x^2의 그래프를 x축의 방향으로 3만큼, y축의 방향으로 2만큼 평행이동하면 된다.
꼭짓점은 (3,2), 축의 방정식은 x=3이다.
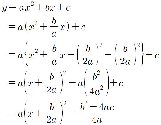
* 이차함수 y=ax^2 +bx +c를 y=a(x-p)^2+q 꼴로 바꿔보자.

* 이차함수 y=ax^2 +bx +c의 그래프의 성질
1) y=a(x-p)^2 +q의 꼴로 고쳐서 그린 그래프와 같다.
2) y축 위의 점 (0,c)를 지난다.
3) a>0이면 아래로 볼록하고, a<0이면 위로 볼록하다.
4) 축의 방정식은 x=-b/2a이다.
※ 이 글에 있는 삽화 출처는 천재교육 중학교 3학년 수학 교과서(류준열)입니다.

'수학 이야기 > 중3수학' 카테고리의 다른 글
| [통계]산포도(분산, 표준편차, 평균편차) 개념설명 (0) | 2022.10.13 |
|---|---|
| [통계]대푯값 개념설명 (0) | 2022.10.12 |